EspañolEspañol
  • English (UK)
Calar Alto Astronomical Observatory
  • Noticias
    • Notas de prensa
    • Noticias breves
    • Divulgación
  • Sobre CAHA
    • Introducción
    • Contacto
    • Galería
    • Personal CAHA
      • Lista de personal
      • Interno
    • Departamentos CAHA
      • Astronomía
      • Informática
      • Mantenimiento
      • Electrónica
      • Mecánica
      • Oficina de Proyectos
    • Comités CAHA
      • Comité Ejecutivo
      • Comité Científico Asesor
      • Comité de Asignación de Tiempo
    • Portal de Transparencia
    • Trabaja con nosotros
    • Política de Privacidad
      • Política de Privacidad
      • Política de Cookies
      • Política de videovigilancia
      • Política de seguridad
  • Observación
    • Telescopios e Instrumentos
    • DDT
    • Plan de Gestión de Datos
    • Call for proposals
    • Información para Astrónomos
    • Utilidades y Formularios
    • Meteorología
  • Ciencia
    • Meteoros y Bólidos
    • Comité Científico Asesor
    • Proyectos de instrumentación
      • CARMENES+
      • TARSIS
      • MARCOT
    • Programas de legado
      • CARMENES Legacy+
      • CAVITY
      • KOBE
    • Publicaciones
    • Archivo público CAHA
    • Informes
    • Licitaciones abiertas / Contratos
    • Licitaciones cerradas / Contratos
    • Estado de las convocatorias
    • Plan Antifraude
  • Servicios
    • Breve descripción
    • Protocolos de accesos y comités
    • Tiempo de observación
    • Plan de Gestión de Datos
    • Aluminización de Espejos
    • Archivo público
    • Estación Meteorológica
    • Visita Calar Alto

Un «Júpiter caliente» que desafía las teorías de formación planetaria


teaser Cada semana telescopios de todo el mundo detectan nuevos exoplanetas (planetas que orbitan alrededor de estrellas distintas al Sol), pero el último que ha hallado el Telescopio Infrarrojo del Reino Unido (WTS-UKIRT), ubicado en Hawái, se sale de lo habitual. «Es un planeta especial porque tiene un radio muy grande, dadas su masa y edad, y de acuerdo con las teorías actuales de formación planetaria», explica Luis Sarro Baro, investigador del departamento de Inteligencia Artificial de la UNEDy uno de los autores del hallazgo, que se describe en la revista Monthly Notices of the Royal Astronomical Society.

 

Estas teorías predicen que los radios de los planetas recién formados decrecen con el paso del tiempo, a medida que estos radian energía interna. Sin embargo, teniendo en cuenta que el exoplaneta descubierto (bautizado como WTS-1b) y su estrella central se formaron hace unos 600 millones de años, el cuerpo debería tener un tamaño un 20% superior al de Júpiter, y no un 50% mayor, como se observa.

 

  RV
     

Cambios en la velocidad radial de la estrella a lo largo      de una órbita completa del planeta a su alrededor

Para localizar WTS-1b el equipo internacional de científicos, del que forma parte la UNED, el Centro de Astrobiología (CAB), el Instituto de Astrofísica de Canarias (IAC), el Centro Astronómico Hispano Alemán (Observatorio de Calar Alto, CAHA), la Universidad de La Laguna, el Instituto Max Planck para Física Extraterrestre (MPE) y numerosas instituciones europeas y latinoamericanas, ha empleado técnicas de fotometría infrarroja. Estas revelan que el exoplaneta es un cuerpo gaseoso, de la categoría conocida como «Júpiter calientes», porque comparte las características del gigante de gas de nuestro Sistema Solar pero orbita alrededor de su estrella (WTS-1) a una distancia mucho menor que éste lo hace del Sol.

 

«Si comparamos, la Tierra se encuentra a una unidad astronómica de distancia de su estrella; Júpiter se halla a 5.2 unidades astronómicas y WTS-1b, a tan solo 47 milésimas de unidad astronómica (0.047) de la suya», indica el astrofísico.

 

«Este resultado es fruto de una amplia colaboración internacional y ofrece un ejemplo claro de las sinergias que pueden obtenerse de la operación de telescopios de clase 2-4 metros. Los datos que han permitido llegar a este resultado han sido obtenidos con telescopios en Hawái, Tejas, Arizona, las islas Canarias y Almería», según nos detalla David Barrado, investigador del CAB y director del observatorio de Calar Alto. Calar Alto ha contribuido a este estudio con espectroscopia en luz visible obtenida con el instrumento CAFOS acoplado al telescopio reflector Zeiss de 2.2 m de abertura.

 

 

Cuatro veces el gigante gaseoso

 

El radio del exoplaneta es 1.5 veces el de Júpiter y su masa, cuatro veces superior. Se localiza en el disco de la Galaxia, a unos 10 400 años-luz de la Tierra. Por su parte, la estrella cuenta con un radio un 15% superior al del Sol y su temperatura (aproximadamente 6000 grados centígrados) es algo mayor que la de este.

 

Otra característica del exoplaneta, común a cualquier «Júpiter caliente» consiste en que se cree que no se formó en el mismo emplazamiento en el que se encuentra ahora, sino mucho más lejos de su estrella y, posteriormente, se desplazó hasta la posición actual. .

 

La cercanía entre ambos cuerpos sitúa a WTS-1b lejos de la zona de habitabilidad, pero eso no significa necesariamente que no pueda albergar formas de vida. «En la Tierra existe vida en lugares con condiciones tan adversas como el río Tinto, la Antártida o las fumarolas oceánicas, y eso hace años era impensable», recuerda el investigador de la UNED. No obstante, Sarro admite que «hoy por hoy, se considera improbable que un planeta tan próximo a la estrella central pueda albergar vida».

 

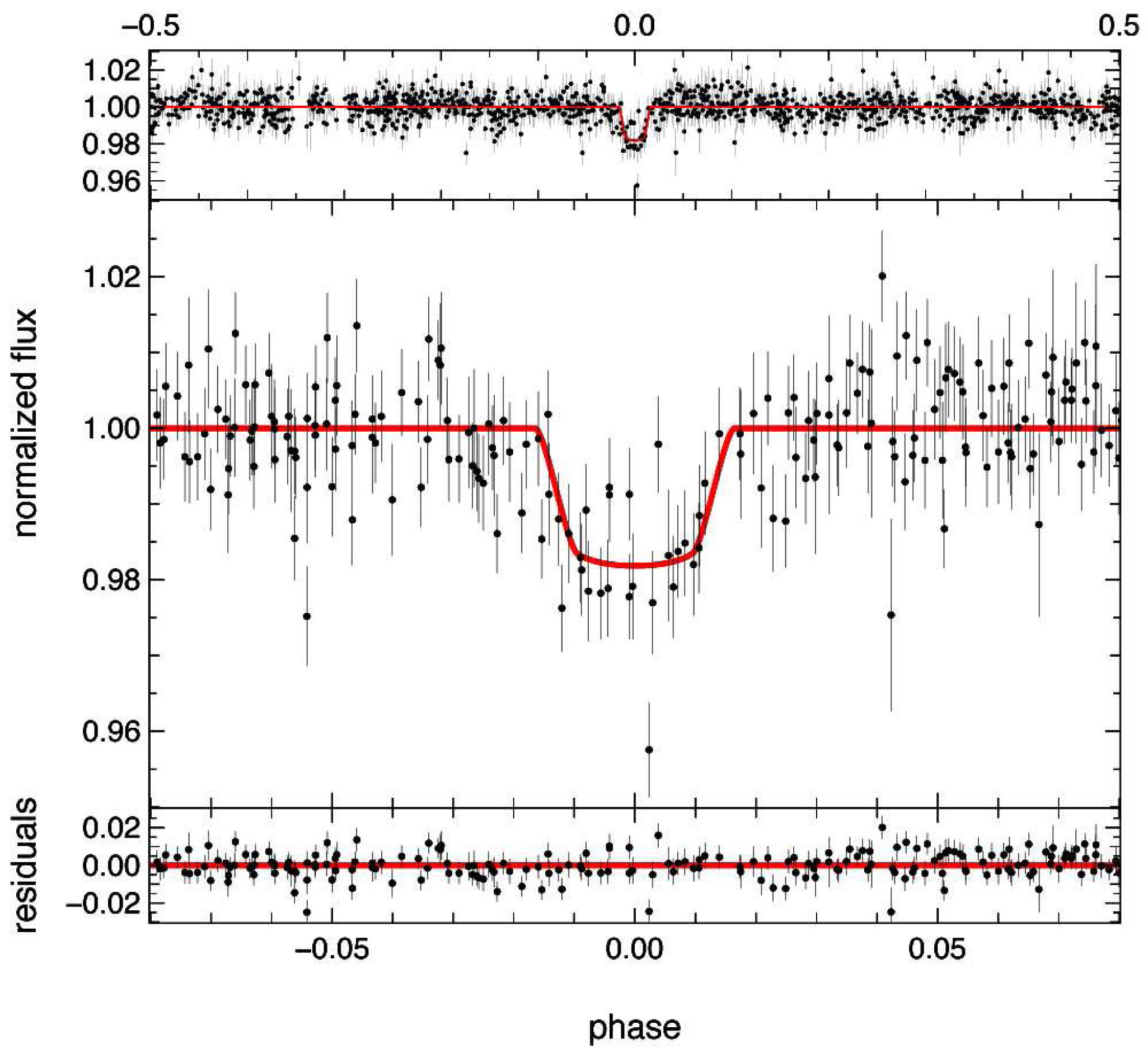
LC1

Evolución del brillo aparente de la estrella central cuando el planeta WTS-1b pasa ante ella y provoca un eclipse

 
«Cazado» con fotometría infrarroja

 

La fotometría infrarroja empleada por los científicos en este estudio es una técnica común para detectar planetas en imágenes directas («fotografías»), pero no para localizarlos a través de sus tránsitos o eclipses. Midiendo el brillo de cientos de miles de estrellas en una misma región del cielo a lo largo del tiempo, se pueden detectar cuerpos en órbita alrededor de éstas si dicho movimiento es tal que, en algún momento, el planeta pasa por delante, ocurre un eclipse y disminuye el brillo aparente de la estrella.

 

A partir de ahí, los investigadores toman espectros (es decir, descomponen la luz en sus diferentes longitudes de onda) para descartar explicaciones alternativas como, por ejemplo, otra estrella, y confirmar la naturaleza planetaria del cuerpo. Al mismo tiempo, los espectros permiten deducir las propiedades físicas de la estrella central.

 

WTS es un proyecto de monitorización fotométrico actualmente en curso, que emplea la Cámara de Campo Amplio (WFCAM) del Telescopio Infrarrojo del Reino Unido (UKIRT), ubicado en Manua Kea (Hawái). Gestiona el proyecto la red internacional RoPACS (Planetas Rocosos Alrededor de Estrellas Frías, por sus siglas en inglés), del que forman parte numerosas instituciones internacionales.



 

© Observatorio de Calar Alto Observatory, enero 2013                                       Esta dirección de correo electrónico está siendo protegida contra los robots de spam. Necesita tener JavaScript habilitado para poder verlo.

 

 

  • Facebook
  • Twitter

© 2026 Centro Astronómico Hispano en Andalucía
  • Noticias
    • Notas de prensa
    • Noticias breves
    • Divulgación
  • Sobre CAHA
    • Introducción
    • Contacto
    • Galería
    • Personal CAHA
      • Lista de personal
      • Interno
    • Departamentos CAHA
      • Astronomía
      • Informática
      • Mantenimiento
      • Electrónica
      • Mecánica
      • Oficina de Proyectos
    • Comités CAHA
      • Comité Ejecutivo
      • Comité Científico Asesor
      • Comité de Asignación de Tiempo
    • Portal de Transparencia
    • Trabaja con nosotros
    • Política de Privacidad
      • Política de Privacidad
      • Política de Cookies
      • Política de videovigilancia
      • Política de seguridad
  • Observación
    • Telescopios e Instrumentos
    • DDT
    • Plan de Gestión de Datos
    • Call for proposals
    • Información para Astrónomos
    • Utilidades y Formularios
    • Meteorología
  • Ciencia
    • Meteoros y Bólidos
    • Comité Científico Asesor
    • Proyectos de instrumentación
      • CARMENES+
      • TARSIS
      • MARCOT
    • Programas de legado
      • CARMENES Legacy+
      • CAVITY
      • KOBE
    • Publicaciones
    • Archivo público CAHA
    • Informes
  • Servicios
    • Breve descripción
    • Protocolos de accesos y comités
    • Tiempo de observación
    • Plan de Gestión de Datos
    • Aluminización de Espejos
    • Archivo público
    • Estación Meteorológica
    • Visita Calar Alto